|
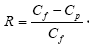
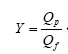
(GB/T 19249-2003) 1 范圍 本標準規定了反滲透水處理設備(以下簡稱設備)的分類與型號、要求、試驗方法、檢驗規則、標志、包裝、運輸及貯存。 本標準適用于以含鹽量低于10000mg/L的水為原水,采用反滲透技術生產滲透水的水處理設備。 2 規范性引用文件 下列文件中的條款通過本標準的引用而成為本標準的條款。凡是注日期的引用文件,其隨后所有的修改單(不包括勘誤的內容)或修改版均不適用于本標準,然而,鼓勵根據本標準達成協議的各方研究是否可使用這些文件的最新版本。凡是不注日期的引用文件,其最新版本使用于本標準。 GB150 鋼制壓力容器 GB/T191 包裝儲運圖示標志 GB5750 生活飲用水標準檢驗方法 GB9969.1 工業產品使用說明書總則 GB50235 工業金屬管道工程施工及驗收規范 HG20520 玻璃鋼/聚氯乙烯(FRP/PVC)復合管道設計規定 JB/T5995 工業產品使用說明書?機電產品使用說明書編寫規定 3 術語和定義 下列術語和定義適用于本標準。 3.1 反滲透膜 reverse osmosis membrane 用特定的高分子材料制成的,具有選擇性半透性能的薄膜。它能夠在外加壓力作用下,使水溶液中的水和某些組分選擇性透過,從而達到純化或濃縮、分離的目的。 3.2 反滲透膜元件 reverse osmosis membrane element 用符合標準要求的反滲透膜構成的基本使用單元。 3.3 反滲透膜組件?reverse osmosis membrane module 按一定技術要求將反滲透膜元件與外殼等其他部件組裝在一起的組合構件。 3.4 反滲透 reverse osmosis 在膜的原水一側施加比溶液滲透壓高的外界壓力,只允許溶液中水和某些組分選擇性透過,其他物質不能透過而被截留在膜表面的過程。 3.5 脫鹽率 salt rejection 表明設備除鹽效率的數值。 3.6 原水回收率 recovery 設備對原水利用效率的數值。 3.7 滲透水 permeat 經設備處理后所得的含鹽量較低的水。 3.8 濃縮水 concentrate 經設備處理后的含鹽量被濃縮的水。 3.9 保安過濾器 cartridge filter 由過濾精度小于或等于5μm的微濾濾芯構成的過濾器,裝在反滲透膜前,以確保進入反 滲透膜的進水水質滿足規定的要求。 4 產品分類與型號 4.1 產品分類 3 設備按日產水量m/d(以24h,25℃水溫計,以下同)分三類: a) 小型設備 日產水量≤100 m3/d b) 中型設備 日產水量100~1000 m3/d c) 大型設備 日產水量≥1000 m3/d 4.2 產品型號 4.2.1 產品型號以反滲透的英文字頭 RO 和膜的型式代號、設備的規格代號、反滲透的級數組合而成。 4.2.2 反滲透膜的型式代號(用漢語拼音字頭表示): J----卷式膜;B----板式膜;Z----中空膜;G----管式膜。 4.2.3 設備的規格代號(以設備的類別代號的英文字頭表示): S----小型設備;M----中型設備;L----大型設備。 4.2.4 反滲透的級數代號(以阿拉伯數字表示): 1----一級反滲透;2----二級反滲透;3----三級反滲透。 4.2.5 型號示例: RO-JSl表示:用卷式反滲透膜構成的一級小型反滲透水處理設備。 5 要求 5.1 反滲透水處理設備性能指標 a) 脫鹽率:設備的脫鹽率≥95%(用戶有特殊要求的除外)。 b) 原水回收率: ----小型設備原水回收率≥30%; ----中型設備原水回收率≥50%; ----大型設備原水回收率≥70%。 5.2 原材料要求 5.2.1 反滲透膜組件、泵、各種管道、儀表等設備構件,均應符合相應的標準和規范要求。 5.2.2 凡與水接觸的部件的材質不能與水產生任何有害物理化學反應,必要 GB/T 19249—2003 時采取適當的防腐及有效保護措施,不得污染水質,應符合有關安全衛生標準的要求。 5.3 外觀 5.3.1 設備應設計合理,外觀結構緊湊、美觀,占地面積及占用空間小。 5.3.2 設備主機架安裝牢固,焊縫平整,水平及垂直方向公差應符合國家標準的要求,涂層均勻、美觀、牢固、無擦傷、無劃痕,符合國家有關規定。 5.4 組裝技術要求 5.4.1 設備各部件連接處均應結構光滑平整、嚴密、不滲漏。 5.4.2 管道安裝平直,走向合理,符合工藝要求,接縫緊密不滲漏,塑料管道、閥門的連接應符合HG20520規定,金屬管道安裝與 焊接應符合GB50235的要求。 5.5 儀器儀表、自動控制、電氣安全 5.5.1 設備配備的儀器、儀表的量程和精度應滿足設備性能的需要,符合有關規定,接口不得有任何泄漏。 5.5.2 自動化控制靈敏,遇故障應立即止動,具有自動安全保護功能。 5.5.3 電氣控制柜應符合國家及相關行業規定,安裝應便于操作,符合設計要求。 5.5.4 各類電器接插件的安裝應接觸良好,操作盤、柜、機、泵及相關設備均應有安全保護措施,保證電氣安全。 5.6 泵的安裝 泵安裝平穩。高壓泵進、出口分別設有低壓保護和高壓保護。 5.7 反滲透膜的保護系統 反滲透膜的保護系統安全可靠,必要時應有防止水錘沖擊的保護措施;膜元件滲透水側壓力不得高于濃縮水側壓力0.03 MPa;設備關機時·,應將膜內的濃縮水沖洗干凈;停機時間超過一個月以上時,應注入保護液進行保護。 5.8 設備的使用條件 5.8.1 為保護設備正常運行,設備的進水應滿足如下要求: a) 淤塞指數 SDl 15<5; b) 游離余氯:聚酰胺復合膜<0.1 mg/L;乙酸纖維素膜0.2 mg/L~1.0 mg/L; c) 濁度<1.0 NTU; d) 根據原水水質,正確設計預處理工藝,選用符合國家及行業標準的預處理設備、管路和閥門,原水水質指標的測定按照相應的國家標準和行業標準進行; e) 根據反滲透膜元件要求合理控制進水的pH值、鐵離子、微生物、難溶鹽等參數; 5.8.2 操作溫度、操作壓力: a) 操作溫度:溫度為影響產水量的主要指標,通常復合膜適用 4℃~45℃;乙酸纖維素膜適用4℃~35℃。 b) 操作壓力:根據工藝要求,操作壓力一般不大于3.5MPa。 5.9 設備安裝要求 設備安裝時,在裝卸膜元件的一側,應留有不小于膜元件長度 1.2 倍距離的空間,以滿足換膜、檢修的要求。設備不能安置在多塵、高溫、振動的地方,一般應安裝于室內,避免陽光直射,環境溫度低于4℃時,必須采取防凍措施。 5.10 設備清洗 設備應設有化學清洗系統或接口,以便定期進行清洗。 6 試驗方法 6.1 目測檢驗 6.1.1 目測外觀結構是否合理,各構件聯接應符合設計圖紙的要求。 6.1.2 目測涂層是否均勻,無皺紋、粘附顆粒雜質和明顯刷痕等缺陷。 6.1.3 用水平儀測量主機框架,容器、泵及相應管線,其水平方向和垂直方向均應符合設計圖樣和相關標準要求。 6.2 設備性能測試 6.2.1 脫鹽率的測定 根據需要,設備脫鹽率,可采用下列兩種方法之一種進行測定。 a) 重量法(仲裁法):  按GB5750規定的溶解性總固體檢測方法測量原水和滲透水含鹽量,然后計算。 R----脫鹽率% Cr----原水含鹽量,mg/L Cp----滲透水含鹽量,mg/L b)電導率測定法
 電導率測定是用電導率儀測定原水電導和滲透水電導率,然后計算。 R----脫鹽率% C1----原水電導 C2----滲透水電導 6.2.2 原水回收率的測定
或 原水回收率可用滲透水流量、原水流量、濃縮水流量計算。 效數字: 6.3 液壓試驗 在未加膜元件情況下開啟加壓泵,調節管路閥門,按GBl50的規定使系統試驗壓力為設計壓力的1.25倍,保壓30min,檢驗系統焊縫及各連接處有無滲漏和異常變形。 6.4 自動保護功能檢測 調節供水泵控制閥、濃水閥,當高壓泵調到最低進水壓力、出水壓力、最高設計壓力時,檢查自動保護止動的效果。必要時檢查防止水錘沖擊的保護措施是否有效。 6.5 運行試驗 6.5.1 試運行 本運行試驗適用于卷式膜。 按照設備安裝圖、工藝圖、電器原理圖、接線圖,對設備系統進行全面檢查,確認其安裝正確無誤,在微濾濾芯未放入保安濾器內,反滲透膜未放入膜殼內的情況下,打開電源開關,啟動供水泵,對反滲透系統進行循環沖洗,檢查系統滲漏情況,壓力表及其他儀表工作情況和電氣安全及接地保護是否有效,沖洗直至清潔為止。將微濾濾芯放入保安過濾器的外殼內沖洗干凈,然后將反滲透膜元件裝入膜殼內。 6.5.2 運行試驗 設備經試運行之后,開啟總電源開關,將運行開關旋鈕置于開啟位置。反滲透裝置開始運行,根據運行情況,供水泵開始運轉,高壓泵按控制時間啟動,系統開始升壓產水,調整系統調節閥,達到設計參數,設備運行試驗一般不少于8h,運行期間檢查供水泵、高壓泵運轉是否平穩,產水與排濃縮水情況是否正常,自動控制是否靈敏,電氣是否安全,自動保護是否可靠。按6.2的規定檢查滲透水的電導率,確定設備脫鹽率、原水回收率是否達到要求。 6.5 為保證液壓試驗、運行試驗的準確性,允許此兩項試驗在施工現場進行。 7 檢驗規則 7.1 設備應逐臺檢驗。 7.2 檢驗分類:設備分為出廠檢驗和型式檢驗。 7.3 出廠檢驗 7.3.1 每臺出廠的設備均應按表1的規定進行目測檢驗和運行試驗。 表1 出廠檢驗
|
序 號 |
檢 驗 項 目 |
對應的要求條款號 |
試驗方法的條款號 |
檢驗方式 | |
1 |
目測檢驗 |
5.3;5.4 |
6.1 |
逐臺檢驗 | |
2 |
運行試驗 |
5.1;5.4-5.7 |
6.2;6.5 |
逐臺檢驗 |
7.3.2 判定規則:試驗結果符合本標準的規定判為合格。 7.4 型式檢驗 7.4.1 設備在下列情況下,進行型式檢驗: a) 設備的生產工藝改變; b) 設備的主要零部件改變; c) 產品定型鑒定; d) 停產半年以上; e) 質量監督部門要求時。 7.4.2 型式檢驗抽樣與判定規則: a) 可用在企業中經出廠檢驗合格的設備1~2臺做為樣品進行型式檢驗,也可用經竣工驗收合格的設備l~2臺做為樣品。 b) 按本標準6.1;6.3;6.4規定的試驗方法進行,設備的目測檢驗、液壓試驗和自動保護功能檢驗合格后,再進行設備的運行試 驗。檢驗的各項結果全部符合本標準對設備的要求時,判為合格。 8 標志、包裝、運輸、貯存 8.1 標志 設備上面必須有標志牌,其內容包括: a) 設備名稱及型號; b) 產水量; c) 操作壓力; d) 產品編號; e) 生產日期; f) 生產廠名稱: g) 設備總質量(單位:t); h) 外形尺寸(長×寬×高 單位:m); i) 設備功率; j) 設備電源電壓。 8.2 包裝 8.2.1 設備出廠包裝時,必須擦干水分,所有接頭、管口、法蘭面全部封住。 8.2.2 裝箱前,所有儀器、儀表應加以保護。 8.2.3 設備應采用適當材料包裝,適合長途轉運,包裝的結構和性能應符合有關規定。 8.2.4 設備包裝箱內應有隨機文件,包括: a) 設備主要零部件清單; b) 設備使用說明書,使用說明書按GB 9969.1、JB/T 5995規定編寫; c) 設備檢驗合格證。 8.2.5 包裝箱外應標明:品名、生產廠名稱、通訊地址、電話,按GB/T 191規定標明“易 碎物品”、“向上”、“怕曬”、“怕雨”、“禁止翻滾”、“重心”等圖示標志。 8.3 貯存 8.3.1 設備中已裝入濕態膜的,應注滿保護液貯存于干燥防凍的倉庫內,并定期更換保護液,避免日曬和雨淋。 8.3.2 反滲透膜、泵等主要零部件應貯存在清潔干燥的倉庫內,防止受潮變質,環境溫度低于4℃時,必須采取防凍措施。
|